もくじ
条件付き確率

確率P(A)が起こるとした時の、確率P(B)が起こる確率を表します。
ex)
サイコロを振った時に奇数だった時に、5以上である確率


ベイズの定理

条件付き確率を変形させるとベイズの定理を導出出来ます。
ベイズの定理導出
①

②

③
①を変形して③になる

③を②に代入します。
ベイズの定理になります。

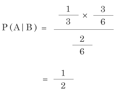
ex)
サイコロを振った時に5以上であった時に、奇数である確率


ベイズの定理でやってみましょう


var 優技録 = []string{ "Golang", "Vue.js", "AWS", "PHP", "DB", "IaC", "SRE"}