
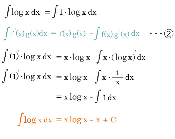
掛け算の積分を簡単に計算出来ます。
1×で考えるパターン

∫log xの積分の公式?が出せます。
使うタイミング
- 掛け算になっている
- 片方が微分すると簡単になる
- もう片方が積分しても複雑にならない
この3つの条件がそろった時がタイミング。
こういう簡単に展開するやつの他に置換積分や偶関数と奇関数の性質を使ったものもある。
また三角関数の場合、±で周期する範囲の定積分は0で計算できるので無視できる。
var 優技録 = []string{ "Golang", "Vue.js", "AWS", "PHP", "DB", "IaC", "SRE"}

掛け算の積分を簡単に計算出来ます。

∫log xの積分の公式?が出せます。
使うタイミング
この3つの条件がそろった時がタイミング。
こういう簡単に展開するやつの他に置換積分や偶関数と奇関数の性質を使ったものもある。
また三角関数の場合、±で周期する範囲の定積分は0で計算できるので無視できる。